时间:2022-10-18 来源:养娃家
判定1:平行于三角形一边的直线和其他两边(或两边的延长线)相交,所构成的三角形与原三角形相似。
判定2:三边成比例的两个三角形相似。
判定3:两边成比例且夹角相等的两个三角形相似。
判定4:两角分别相等的两个三角形相似。

相似三角形的判定公式为: AA(角角)、 SAS(边角边)、SSS (边边边)、HL等等。相似三角形是指对应角相等,对应边成比例的两个三角形。
(1)平行于三角形一边的直线和其他两边或两边的延长线相交,所构成的三角形与原三角形相似。
(2)如果一个三角形的两条边和另一个三角形的两条边对应成比例,并且夹角相等,那么这两个三角形相似;(简叙为:两边对应成比例且夹角相等,两个三角形相似.);
(3)如果一个三角形的三条边与另一个三角形的三条边对应成比例,那么这两个三角形相似(简叙为:三边对应成比例,两个三角形相似.);(1)4如果两个三角形的两个角分别对应相等(或三个角分别对应相等),则有两个三角形相似(简叙为:两角对应相等,两个三角形相似.)。
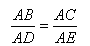
如图,已知∠C=∠E,则不一定能使△ABC 至△ADE成立的条件是()
A、∠BAD=∠CAE B、∠B=∠D C、
D、
试题分析:根据相似三角形的判定方法依次分析各选项即可作出判断.
A、∠BAD=∠CAE,B、∠B=∠D,C、
,均能使△ABC∽△ADE,不符合题意;
D、
不一定能使△ABC∽△ADE,本选项符合题意.
点评:相似三角形的判定和性质是初中数学的重点,贯穿于整个初中数学的学习,是中考常见题,一般难度不大,需熟练掌握。
01:24勾股定理公式有哪些 勾股定理的公式
01:25怎样进行长度单位换算 长度单位的换算
01:06圆的周长怎么算 圆的周长如何算
01:23怎么求不定积分 如何求不定积分
01:23圆柱的表面积公式是什么 圆柱的表面积公式